Publisher Correction: MiR-21 and miR-183 can simultaneously target SOCS6 and modulate growth and invasion of hepatocellular carcinoma (HCC) cells
Z.-B. Li, Z.-Z. Li, L. Li, H.-T. Chu, M. Jia Department of Infection Disease, Zaozhuang Municipal Hospital, Zaozhuang, Shandong, China
Correction to: Eur Rev Med Pharmacol Sci 2015; 19 (17): 3208-3217. PMID: 26400524-published online on September 14, 2015.
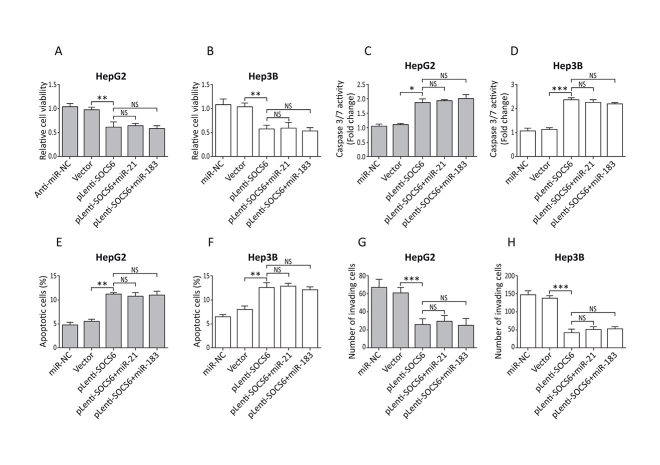
After publication, a reader brought to our attention a mistake in Figure 4. The journal found that Figure 3 was mistakenly inserted twice in the galley proof, resulting in the publication of the same figure for Figures 3 and 4.
The publisher is, therefore, substituting Figure 4 with the correct figure provided at the time of submission as follows:

There are amendments to this paper. The Publisher apologizes for any inconvenience this may cause.
Free PDF Download

This work is licensed under a Creative Commons Attribution-NonCommercial-NoDerivatives 4.0 International License
To cite this article
Z.-B. Li, Z.-Z. Li, L. Li, H.-T. Chu, M. Jia
Publisher Correction: MiR-21 and miR-183 can simultaneously target SOCS6 and modulate growth and invasion of hepatocellular carcinoma (HCC) cells
Eur Rev Med Pharmacol Sci
Year: 2024
Vol. 28 - N. 9
Pages: 3290-3290
DOI: 10.26355/eurrev_202405_36196
Publication History
Published online: 15 May 2024